食品表示法の原産国表示の問題にも、消費者意識は大きく関わってきますね。
日本政策金融公庫が平成20年から半期に一度継続調査を行っている、食品に関する消費者動向調査の平成26年7月調査をご紹介します。
調査データを見てみましょう。
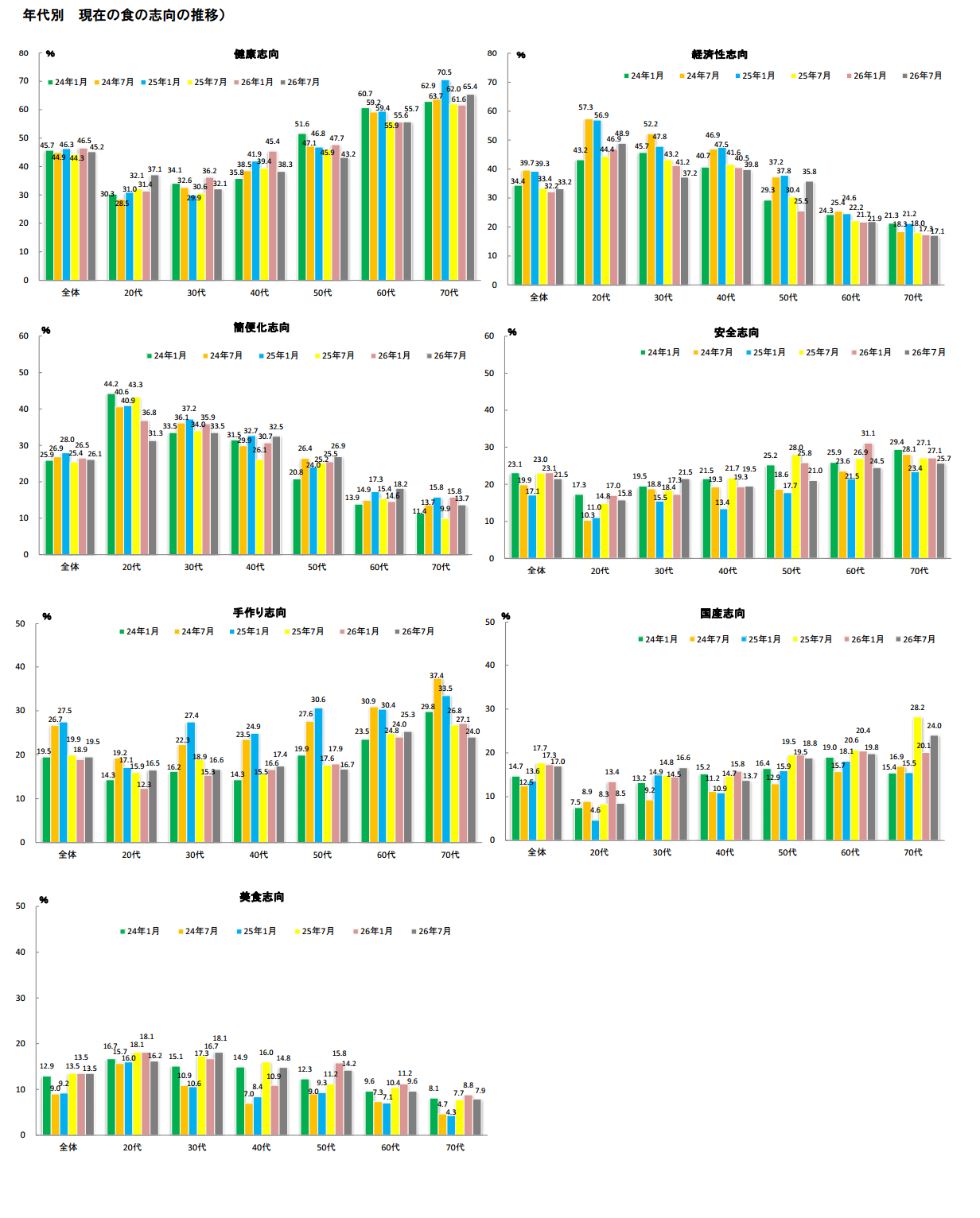
● 「健康志向」が依然高く、食費節約の「経済性」志向は消費税増税の影響薄い
食の志向で最も高いのは「健康志向」の45.2%で、過去最高となった前回26年1月調査(46.5%)から1.3ポイントを下げたものの高い水準となっている。
次いで「経済性志向」が33.2%で、前回調査(32.3%)から1.0ポイント上昇にとどまり、消費税率アップの影響はあまりみられなかった。
※2回クリックすると拡大します。
● シニア世代の「健康志向」、子育て世代の「安全志向」、50代の「経済志向」上昇
年代別では、「健康志向」と「国産志向」は年代が上がるほど志向が高くなっている。
「健康志向」で最も高い70代が65.4%で、前回61.6%より3.8ポイント上昇した。相対的に低い20代が31.4%→37.1%と5.7ポイント上昇した。
「国産志向」は、最も高い70代において前回調査では20.1%(25年7月の28.2%から8.1ポイント低下)から、今回24.0%と再び3.9ポイント上昇した。一方、最も低い20代は13.4%→8.5%と4.9ポイント低下した。
若い層ほど志向割合が高いのは「経済志向」「簡便化志向」であるが、「経済志向」では、特に50代が25.5%→35.8%と大きく上昇した。「簡便化志向」については20代が36.8%→31.3%、30代が35.9%→33.5%と低下した。
「安全志向」は、30代が17.3%→21.5%と4.2ポイント上昇、50歳代〜70歳代ではそれぞれ4.8ポイント、6.6ポイント、1.4ポイントと低下している。
※2回クリックすると拡大します。
● 国産志向変わらず、国産食品の安全イメージも回復
食料品購入時に国産品を「気にかける」割合は77.4%と、25年7月から同レベルで推移している。
国産原料食品が「安全である」と回答した割合も69.7%と、昨年12月の国内冷凍食品工場における農薬混入事件直後の前回調査(63.8%)から5.9 ポイント上昇し、前々回調査(68.5%)を上回るまで回復した。
一方、輸入食品については「安全面に問題がある」が44.9%で、前回から1ポイント低下した。
※2回クリックすると拡大します。
● 「割高でも国産」は依然 6 割
「輸入食品より割高でも国産品を選ぶ」と回答した割合は61.6%と、前回(61.7%)とほ
ぼ同様で、前々回から6 割を超える高い割合となった。
--------------------------------------------------------------------------------
平成26年度上半期消費者動向調査の結果について
(日本政策金融公庫 平成26年7月調査)
http://www.jfc.go.jp/n/findings/pdf/topics_140911a.pdf
・ 調査時期: 2014年7月1日〜7月8日
・ 調査方法 インターネットによるアンケート調査
・ 調査対象:全国の20歳代〜70歳代の男女2,000人(男女各1,000人)
--------------------------------------------------------------------------------
≪関連記事≫
・食の「安全」「国産」「美食」志向が上昇、食費節約の「経済性」志向は低下
(日本政策金融公庫 平成25年度上半期「消費者動向調査」)
http://blog.fides-cd.co.jp/article/375871290.html
・「健康増進成分を含む農産物やその加工食品」に対する消費者意識
(日本政策金融公庫 平成25年度上半期「消費者動向調査」)
http://blog.fides-cd.co.jp/article/381937635.html
-------------------------------------------------------------
◆本ブログをメルマガでまとめ読み!
「ネットショップ おもてなし作法」として、本ブログの1週間分の
情報を、ダイジェストでお届けしています。(毎週金曜日配信)
登録はこちらhttp://www.fides-cd.co.jp/category/com04/
-------------------------------------------------------------
-----------------------------------------------------------
◆信頼できる商材・仕入先を選ぶためのアドバイスがほしい方へ
商材・仕入先チェックコンサルティング
http://www.fides-cd.co.jp/category/pub02/
-----------------------------------------------------------
-------------------------------------------------
ECコミュニケーションデザイン フィデス
http://www.fides-cd.co.jp
*このサイトのご利用に際して
-------------------------------------------------


